计时中
首页
关于我们
企业简介
企业优势
办公环境
案例展示
小学
初中
高中
期刊年鉴
合作指南
行业知识
合作单位
联系我们
联系方式
培训学习
加入我们
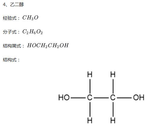
专业排版 | 跟我一起学方正书版-第十六弹-化学公式注解—普根结构式
普根结构式是用元素符号和键来表示分子中各原子的价数和排列的式子。普根结构式就是由根结点,字键、结点三部分组成。三者之间的关系是:由
根结点
引出若干条
字键
,这些字键将其他结点与根结点紧紧连接在一起,从而反映分子的结构和化学性。
图中“OH”、“H”、“C”都是结点,表示结构式中的原子、原子团;其中“C”是根结点,以该结点为结构式的根来描述由它引出的杆(键),杆连接的枝(结点);“OH”是主根结点,是用结构注解排结构式时选取的第1个结点。
结点与结点之间用“键”连接,普根结构式中,由根结点引出的键称为字键。
用于排结构式的注解有结构注解、字键注解、连到注解、线始注解、线末注解。
<结构注解>
:排复杂的化学结构式,读作“结构”。
注意:1.所有化学结构式有关注解都要在结构注解中使用。
2.竖排的结点用竖排注解(SP)指定,空结点用空盒子注解“{}”指定。
3.结构注解也可用于环根结构式。
因为结构注解的参数中涉及了众多其他注解,接下来分享这些注解。
<字键注解>
:指明从本结构的根结点引出的键的数目,以及键的形状、位置、方向、长度,读作“字键”。
下面我们来看一些案例:
其中[ZJY]表示字键的方向为右(Y),键形为细实线(默认),长度为1个字宽(默认)。
[ZJZ;LX,Y,3;QX,S,2;XX,X,2]表示以“E”为主根结点,向左、右、上、下方向引出字键;
其中“Z”表示字键的方向向左,键形为细实线(省略即默认为细实线);
“LX,Y,3”表示键形为两线(LX),方向为右(Y),长度为3个字宽(3);
“QX,S,2”表示键形为曲线(QX),方向为上(S),长度为2个字宽;
“XX,2,X”表示键形为虚线(XX),方向为下(X),长度为2个字宽(2)。
“LX,2,X”表示键形为两线(LX),从上一个盒子的第2个字符(2)向下(X)引出字键,字键的终点为下一个盒子的第1个字符的上方(默认)。
“ZJZS;ZX;LX,Y”表示以第一个“C”作为主根结点,向左上(ZS)、左下(ZX)、和右边(Y)引出字键,其中右边的键形为两线(LX);
“ZJYS;YX”表示以第2个“C”作为主根结点,向右上(YS)和右下(YX)引出字键。
“ZJY”表示以最左边的“H”为主根结点,向右(Y)引出字键;“ZJS;X;Y”表示以“C”作为根结点,分别向上(S)、下(X)、右(Y)引出字键。
还有其他的字键连接方式就需要用到连到注解了;
<连到注解>
:指定键引入的字符序号及位置,读作“连到”。
"LD3"表示由“CF2”引出的字键与“C2H5O”的第3个字符相连。
“LD2”表示由“S”引出的字键与第1个“HC”的第2个字符相连;“LD2S”表示由第1个“HC”引出的字键与第2个“HC”的第2个字符相连,相连位置为上(S)。
<线始注解>
:用线段把结构式中两结点连接起来,线段的起点由本注解指定,读作“线始”。
注意:1.线始注解必须紧跟在被连结点后。
2.线始注解与线末注解必须成对出现,先用线始注解,后用线末注解。
3.如果结构式形成回路,必须去掉回路中的一条线,而被去掉的线用线始、线末注解补上。
<线末注解>
:用线段把结构式中两结点连接起来,线段的终点由本注解指定,读作“线末”。
注意:线末注解与线始注解的编号呈一一对应关系,当某个编号有了线始注解后,还未出现线末注解之前,此编号不能再使用。
“XS1YS”指定1号线的始点由第1个“C”的右下角(YS)引出,“XM1ZS”指定1号线的终点为“O”的左上角(ZS)。
“ZJZS,2;YS,2”以“A”为根结点,向左上角与右下角引出字键;
“XS1ZX”与“XM1YS”指定1号线以“A”的左下角(ZX)为起点,以“C”的右上角(YS)为终点;
“XS2X”与“XM2S”指定2号线以“D”的下边“X”为起点,以“C”的上边(S)为终点。
以上为普根结构式的分享,后面将分享环根结构式,敬请期待!
文章参考:
方正书版10.0 实例与操作 主编 关方
方正书版图解注解
专业排版 | 跟我一起学方正书版-第十五弹-化学公式注解—相联注解(XL)
专业排版 | 跟我一起学方正书版-第十四弹-化学公式注解—反应注解(FY)
专业排版 | 跟我一起学方正书版-第十三弹-着重注解(ZZ)
专业排版 | 跟我一起学方正书版-第十二弹-段落类注解;居中JZ、居右JY、自控ZK、行距HJ、空行KH、行移HY等
专业排版 | 跟我一起学方正书版-第十一弹-数学公式注解(一文讲清)
专业排版 | 跟我一起学方正书版-第十弹-插图类注解(一文说清)
专业排版 | 跟我一起学方正书版-第九弹-表首注解(BS)& 表格小结
专业排版 | 跟我一起学方正书版-第八弹-上齐注解(SQ)& 斜线注解(XX)& EXCEL中画斜线表头
专业排版 | 跟我一起学方正书版-第七弹-改排注解(GP)
专业排版 | 跟我一起学方正书版-第六弹-无线注解(WX)
专业排版 | 跟我一起学方正书版-第五弹-子表注解(ZB)
专业排版 | 跟我一起学方正书版-第四弹-表行注解(BH)
专业排版 | 跟我一起学方正书版-第三弹-表格注解(BG)
专业排版 | 跟我一起学方正书版-第二弹-外文类注解(WT、WT+、WT-、WP)
专业排版 | 跟我一起学方正书版-第一弹-字符类注解(HT)
创建时间:
2026-03-20
15:07
넶
浏览量:
0
ꄴ
前一个:
无
ꄲ
后一个:
无
首页
ꄲ
专业排版 | 跟我一起学方正书版-第十六弹-化学公式注解—普根结构式
本网站由阿里云提供云计算及安全服务
本网站支持
IPv6
本网站由阿里云提供云计算及安全服务
本网站支持
IPv6
本网站由阿里云提供云计算及安全服务
本网站支持
IPv6
本网站由阿里云提供云计算及安全服务
本网站支持
IPv6